首页

教学科研

当前位置: 首页 >> 信息推荐 >> 教学科研 >> 正文
体育与健康学院学生在《Frontiers in Physiology》学术期刊上发表论文
2023-09-14 11:48 (阅读:)

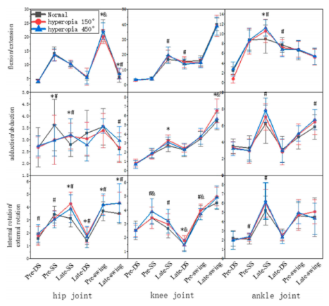
近期,beat365体育与健康学院运动康复专业2020级本科生曾照宏以第一作者身份在医学TOP期刊《Frontiers in Physiology》(IF=4.0, JCR Q1)上发表题为《Effects of various hyperopia intervention levels on male college students’ gait kinematics》的研究论文(Front. Physiol.202314:1161711)。王会会博士为本论文的指导老师,该项研究得到了国家级创新项目和贵州省科技厅基础研究计划等项目的资助。

论文链接:https://www.frontiersin.org/articles/10.3389/fphys.2023.1161711/full

该研究揭示了不同程度远视干预下男性大学生步态的重心变化、周期占比、关节活动角度等运动学特征,探究不同程度远视干预对男大学生步行姿势控制的影响,为远视对步态的影响提供理论依据,并有望从运动生物力学的角度解决因视觉因素而引起步态姿势控制异常的科学难题。(审核:一审唐溢、杜娟,二审杨清玉,三审李均;图文:体育与健康学院)

地址:贵州省遵义市新蒲新区校园1号路(新蒲校区)
          遵义市汇川区大连路201号(大连路校区)
          广东省珠海市金湾区金海岸(珠海校区)

校办电话:0851-28609388  28642444(传真)   本科生招生:0851-28205801  28204791
研究生招生:0851-28643580  成教招生:0851-28609685

官方微信

版权所有©beat·365(中国)在线唯一官网  黔ICP备06003261号-2 贵公网安备52030002001152号

版权声明 | 隐私声明 | 网站地图